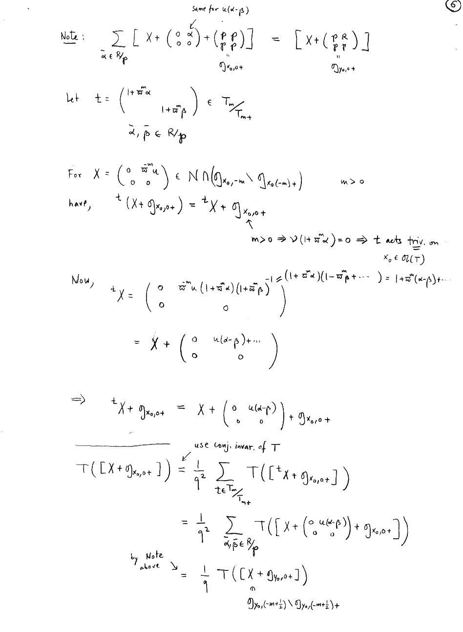
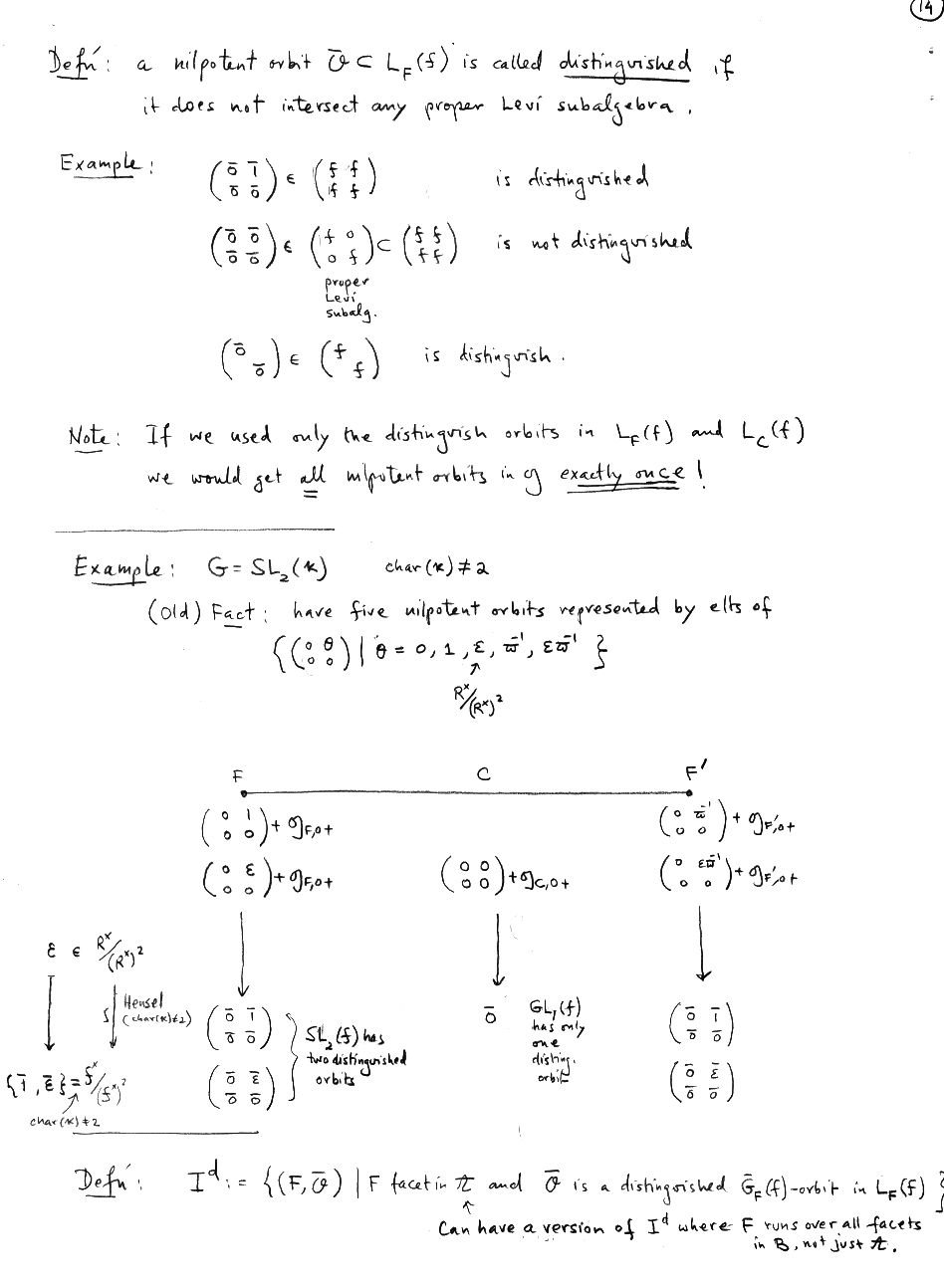
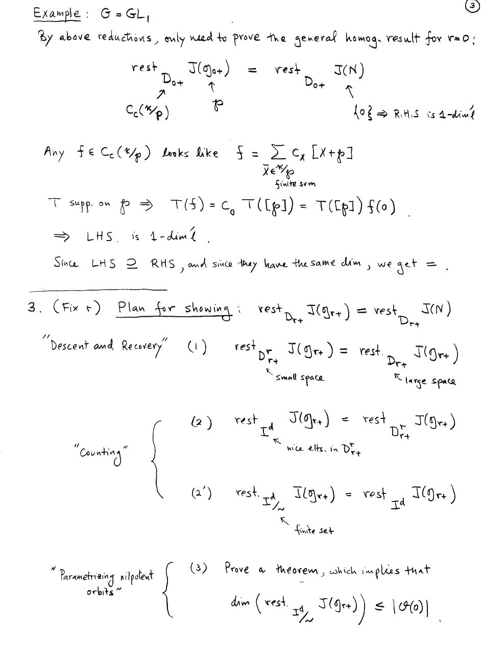
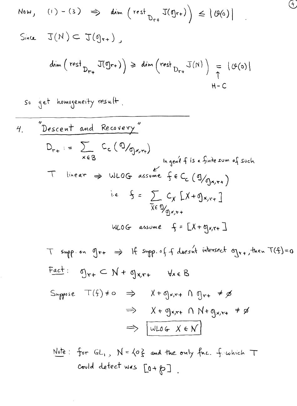
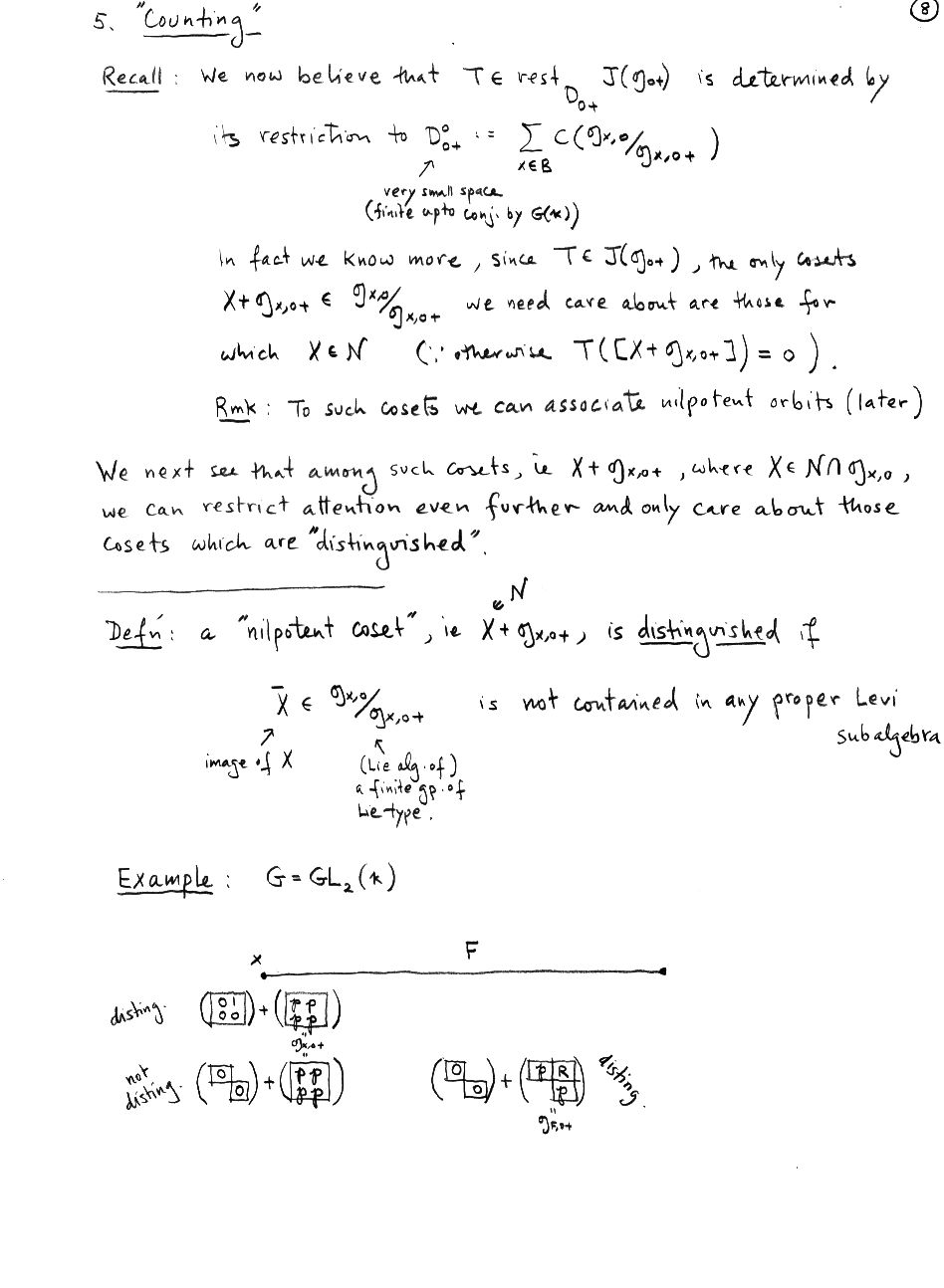
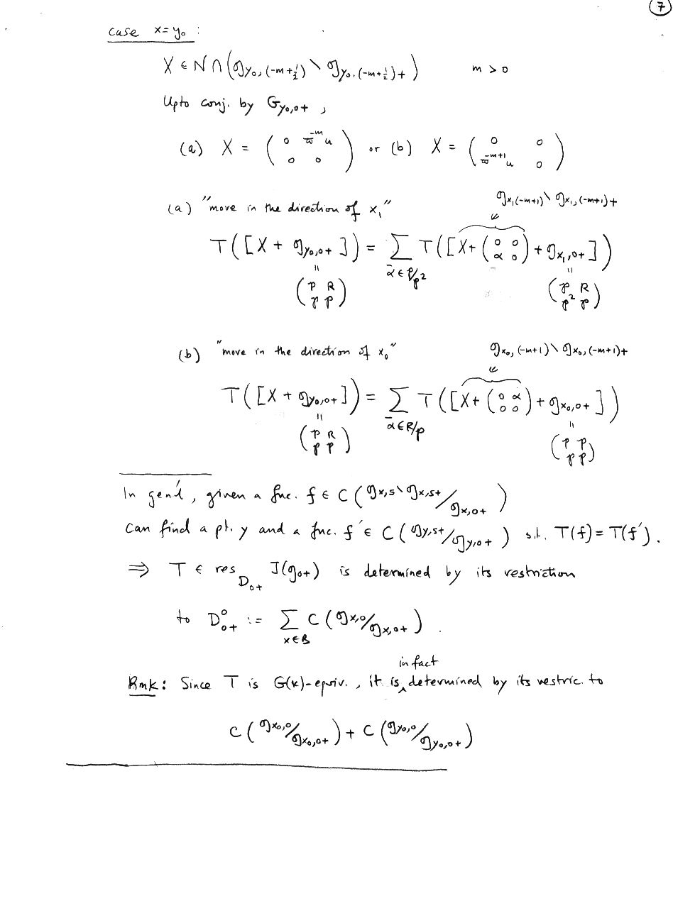
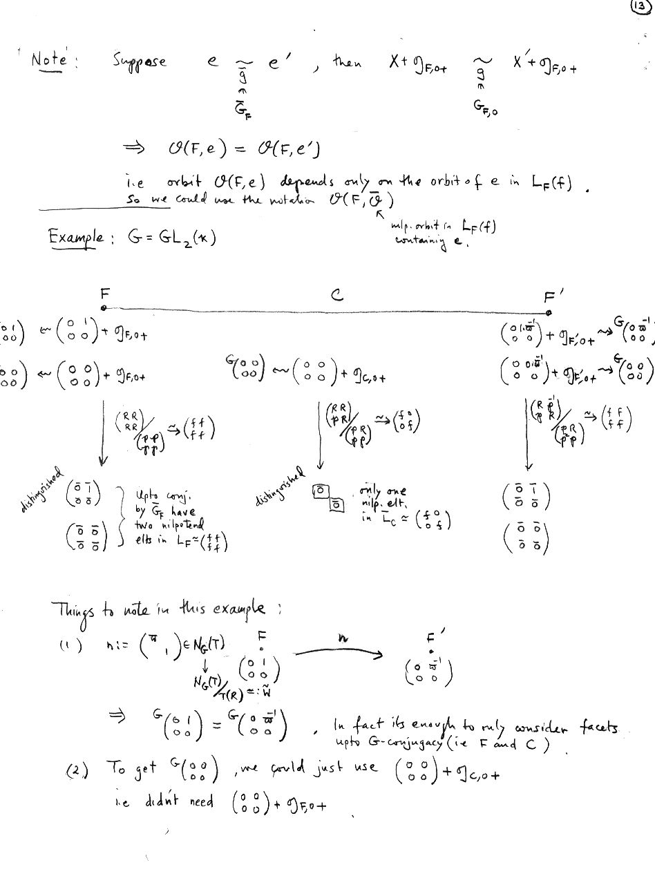
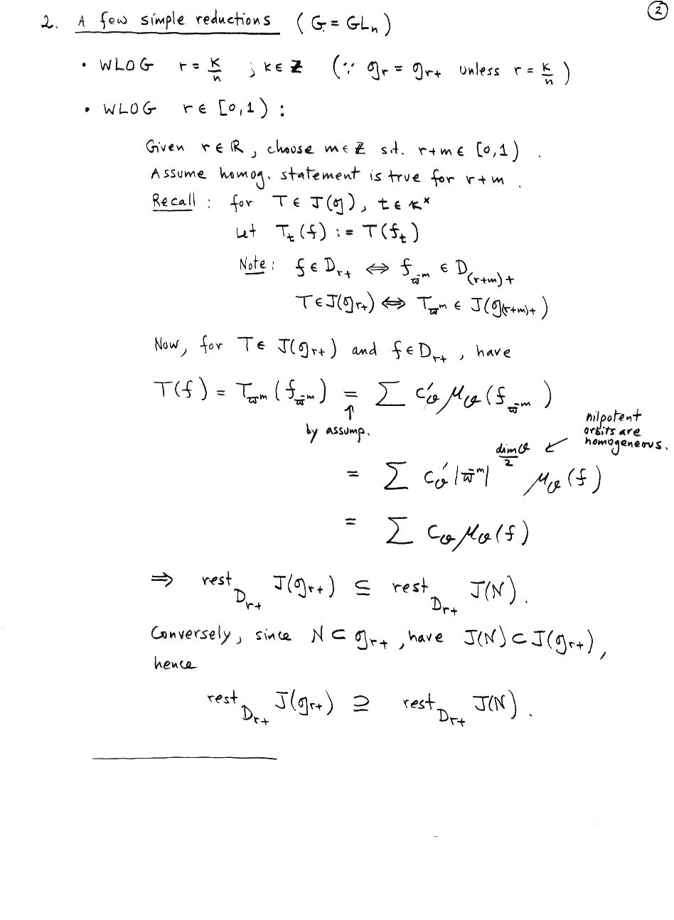
page 1 page 2 page 3 page 4 page 4H page 5 page 6 page 7 page 8 page 8H page 9 page 10 page 11 page 12 page 13 page 14 page 15 page 16 page 17 page 18