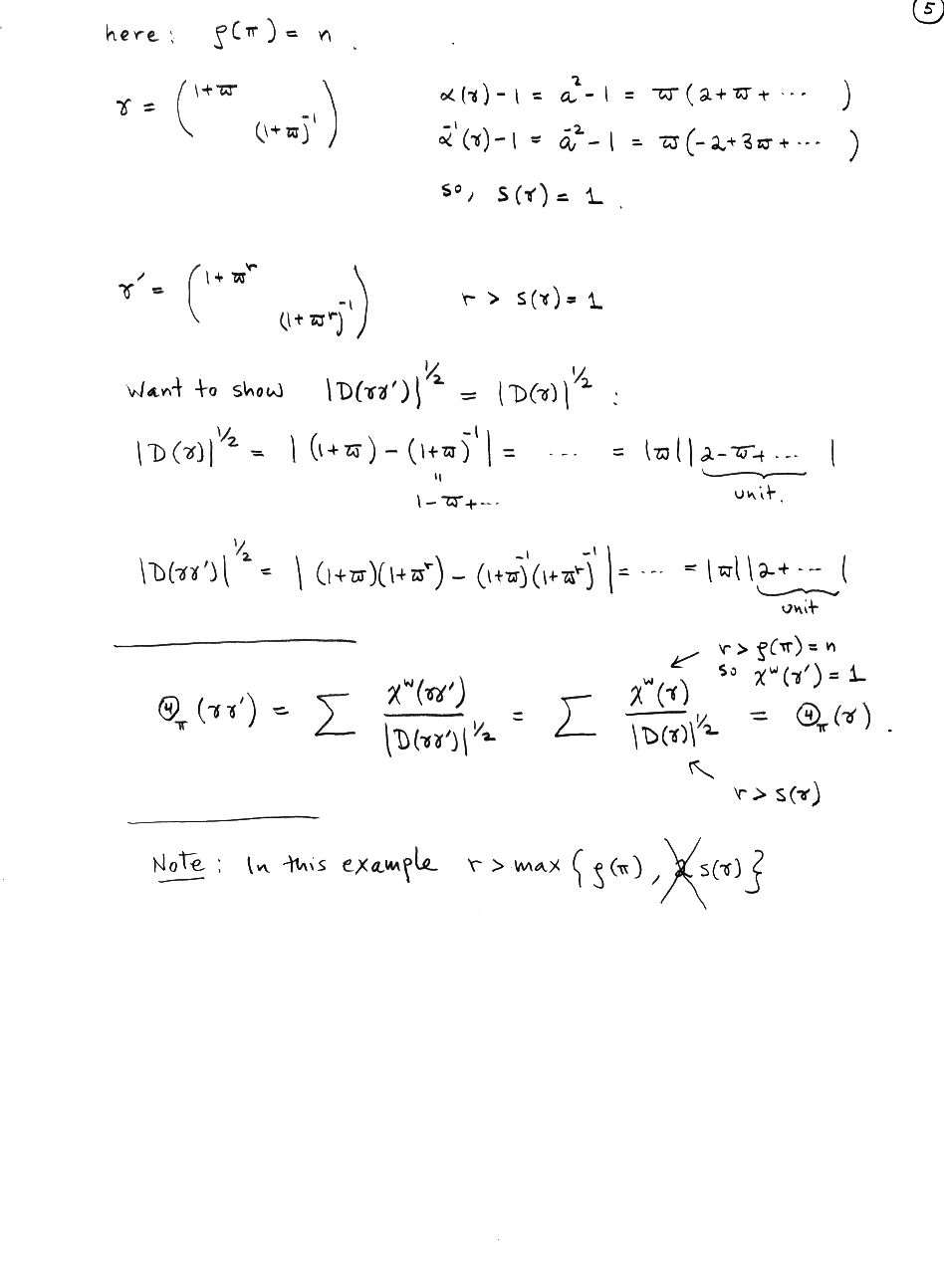
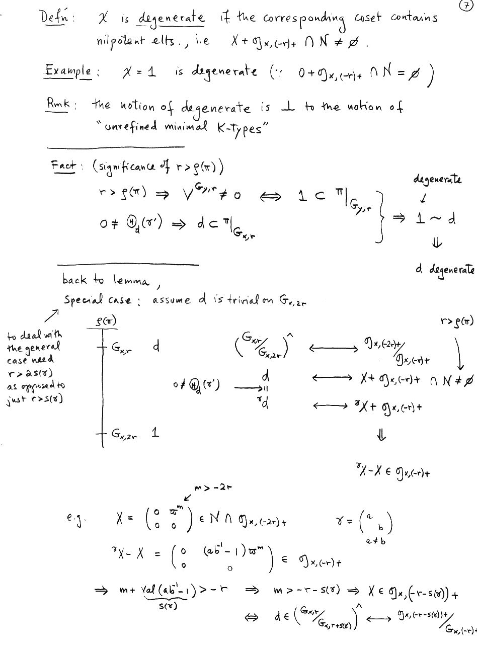
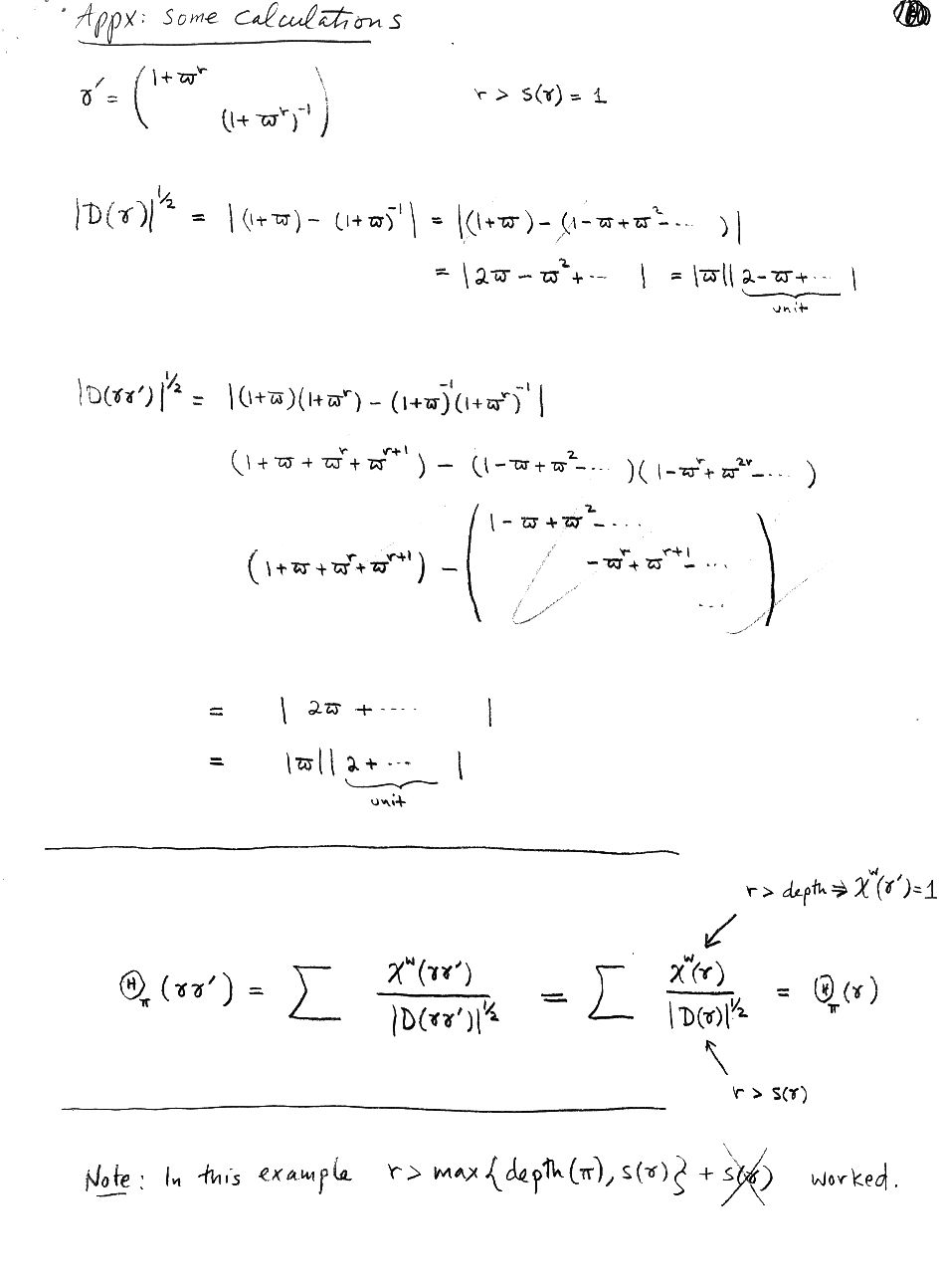
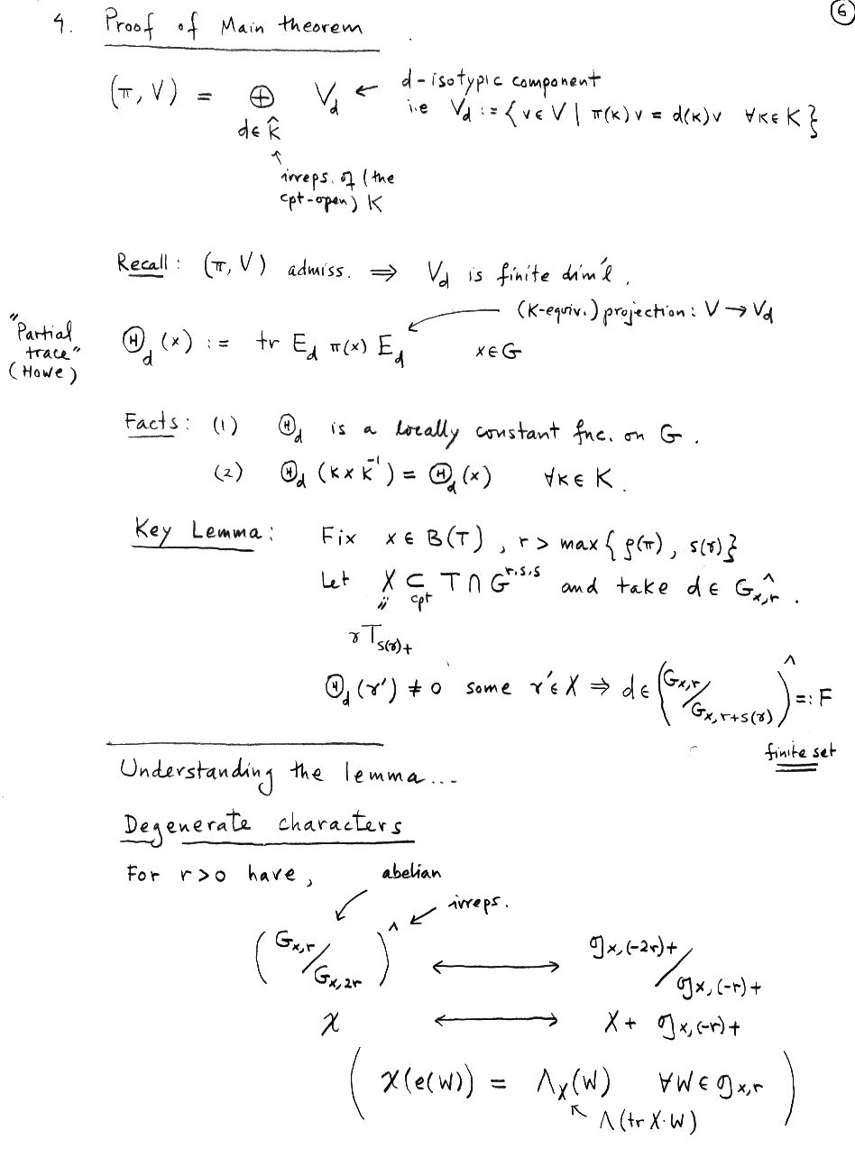
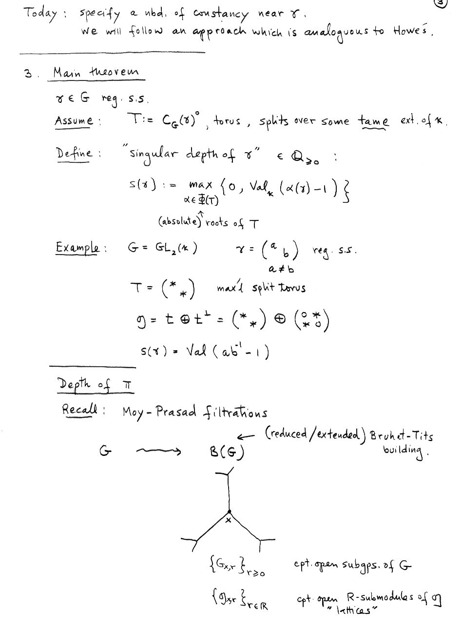
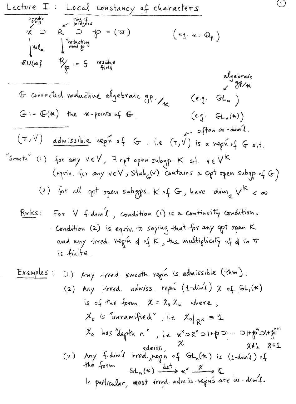
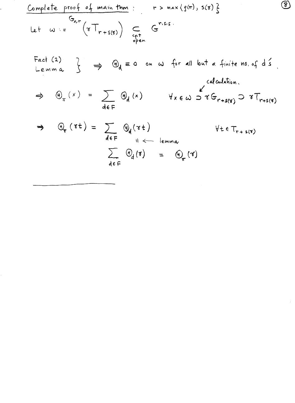
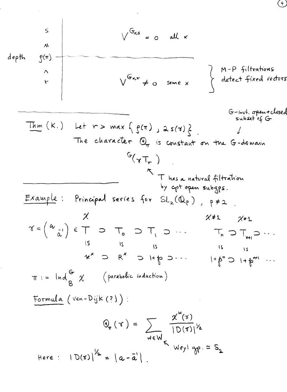
page 1 page 2 page 3 page 4 page 5 page 6 page 7 page 8 page 9